單根避雷針保護半徑計算方式_避雷針廠家
人氣:2755發表時間:2019-05-10
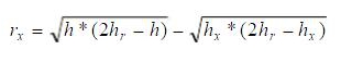
假如你這邊想要保護10米高的建筑物,避雷針高度是20米,,那么該如何計算避雷針的保護半徑呢?接下來我們將引入公式,這是防雷專家公認的計算方式
避雷針的高度h?=?20?(m)?????
被保護物高度hx?=10(m)?????
滾球半徑hr?=45?(m)

=√(20(2*45?-?20))?-?√(10(2*45?-?10))
=9.13(m)
??
下一篇:防雷分區的劃分應符合下列規定上一篇:防雷接地體的安裝_防雷器公司
相關資訊
- 防雷器|深圳防雷廠家|防雷產品生產廠家
- 【POE以太網防雷器保護】_信號防雷器電路圖防護_網
- 【4-20ma防雷器】_防雷器_4-20ma二線制模擬信號防雷
- 【等電位防雷器】_防雷器_等電位防雷器使用說明書
- 建筑物防雷分類_一類二類三類防雷建筑物劃分
- PDU防雷插座_六位PDU防雷插座講解
- 等電位接地防雷浪涌保護器施工注意事項
- 安全防范系統的防雷浪涌保護器與接地應符合下列規定
- 信號線路的防雷浪涌保護器與接地應符合下列規定:
- 天饋線路的防雷與接地應符合下列規定
產品推薦
文章排行
- 監控二合一防雷器的安裝步驟
- 浪涌保護器接線圖|浪涌保護器安裝要求|浪涌保護器接
- 家用【浪涌保護器】接線圖_220V【浪涌保護器】安裝
- 電源浪涌保護器(SPD)安裝的誤區
- 建筑物防雷分類_一類二類三類防雷建筑物劃分
- 裝有避雷帶的屋頂上,安裝風機等電氣設備后,如何進行
- 開關型電涌保護器(SPD)和限壓型SPD的區別?
- 許多用戶認為,多少年來電器設備沒有遭受過雷擊,現在電
- 電源是否要設計A、B、C、D四級保護?
- 合肥第903研究所實驗表明:手機可能引雷



